MDPs and Reinforcement Learning

CSCI 4511/6511

Joe Goldfrank

Announcements

  • Homework Four: 29 Mar
  • Project Scope: 5 Apr
  • Project Milestone 1: 15 Apr
  • Project Milestone 2: 26 Apr
  • Final Exam: 24 Apr

Markov Chains

Markov property:


\(P(X_{t} | X_{t-1},X_{t-2},...,X_{0}) = P(X_{t} | X_{t-1})\)


“The future only depends on the past through the present.”

  • State \(X_{t-1}\) captures “all” information about past
  • No information in \(X_{t-2}\) (or other past states) influences \(X_{t}\)

Markov Reward Process

  • Reward function \(R_s = E[R_{t+1} | S_t = s]\):
    • Reward for being in state \(s\)
  • Discount factor \(\gamma \in [0, 1]\)

\(U_t = \sum_k \gamma^k R_{t+k+1}\)

Decisions1

  • Markov Decision Process:
    • Actions \(a_t\)

The Markov Decision Process

  • Transition probabilities depend on actions

Markov Process:

\(s_{t+1} = s_t P\)


Markov Decision Process (MDP):

\(s_{t+1} = s_t P^a\)


Rewards: \(R^a\) with discount factor \(\gamma\)

MDP - Policies

  • Agent function
    • Actions conditioned on states

\(\pi(s) = P[A_t = a | s_t = s]\)

  • Can be stochastic
    • Usually deterministic
    • Usually stationary

MDP - Policies

State value function \(U^\pi\):1

\(U^\pi(s) = E_\pi[U_t | S_t = s]\)


State-action value function \(Q^\pi\):2

\(Q^\pi(s,a) = E_\pi[U_t | S_t = s, A_t = a]\)


Notation: \(E_\pi\) indicates expected value under policy \(\pi\)

Bellman Expectation

Value function:

\(U^\pi(s) = E_\pi[R_{t+1} + \gamma U^\pi (S_{t+1}) | S_t = s]\)


Action-value fuction:

\(Q^\pi(s, a) = E_\pi[R_{t+1} + \gamma Q^\pi(S_{t+1}, A_{t+1}) | S_t = s, A_t =a]\)

Bellman Expectation

Value function:

\(U^\pi(s) = E_\pi[R_{t+1} + \gamma U^\pi (S_{t+1}) | S_t = s]\)


Action-value fuction:

\(Q^\pi(s, a) = E_\pi[R_{t+1} + \gamma Q^\pi(S_{t+1}, A_{t+1}) | S_t = s, A_t =a]\)


Understanding these equations lynchpins all of MDPs

Value Function



\(U^\pi(s) = E_\pi[R_{t+1} + \gamma U^\pi (S_{t+1}) | S_t = s]\)

State-Action Value Function



\(Q^\pi(s, a) = E_\pi[R_{t+1} + \gamma Q^\pi(S_{t+1}, A_{t+1}) | S_t = s, A_t =a]\)

Policy Evaluation

  • How good is some policy \(\pi\)?

\(U^\pi_1(s) = R(s, \pi(s))\)


\(U^\pi_{k+1}(s) = R(s, \pi(s)) + \gamma \sum \limits_{s^{'}} T(s' | s, \pi(s)) U_k^\pi(s')\)

Optimal Policies 😌

  • There will always be an optimal policy
    • For all MDPs!
  • Policy ordering:
    • \(\pi \geq \pi' \;\) if \(\; U^\pi(s) \geq U^{\pi'}(s), \; \forall s\)
  • Optimal policy:
    • \(\pi* \geq \pi, \; \forall \pi\)
    • \(U^{\pi*}(s) = U^*(s)\) and \(Q^{\pi*}(s) = Q^*(s)\)

Optimal Policies

  • Optimal policy \(\pi^*\) maximizes expected utility from state \(s\):
    • \(\pi^*(s) = \mathop{\operatorname{arg\,max}}\limits_a U^*(s)\)
  • State value function:
    • \(U^*(s) = \max_a U^*(s)\)

Optimal Policies

  • State-action value function:
    • \(Q(s, a) = R(s, a) + \gamma \sum \limits_{s'} T(s' | s, a) U(s')\)
  • Greedy policy given some \(U(s)\):
    • \(\pi(s) = \mathop{\operatorname{arg\,max}}\limits_a Q(s,a)\)

Partial Bellman Equation

Decision: \[U^*(s) = \max_a Q^*(s,a)\]

Partial Bellman Equation

Stochastic: \[Q^*(s, a) = R(s, a) + \gamma \sum \limits_{s'} T(s' | s, a) U^*(s')\]

Bellman Equation

\[U^*(s) = \max_a R(s, a) + \gamma \sum \limits_{s'} T(s' | s, a) U^*(s')\]

Bellman Equation

\[Q^*(s, a) = R(s, a) + \gamma \sum \limits_{s'} \max_a \left[T(s' | s, a) Q^*(s', a')\right]\]

How To Solve It

  • No closed-form solution
    • Optimal case differs from policy evaluation


Iterative Solutions:

  • Value Iteration
  • Policy Iteration

Reinforcement Learning

Dynamic Programming

  • Assumes full knowledge of MDP
  • Decompose problem into subproblems
    • Subproblems recur
  • Bellman Equation: recursive decomposition
  • Value function caches solutions

Iterative Policy Evaluation

Iteratively, for each algorithm step \(k\):

\(U_{k+1}(s) = \sum \limits_{a \in A}\left(R(s, a) + \gamma \sum \limits_{s'\in S} T(s' | s, a) U_k(s') \right)\)

  • Deterministic policy: only one action per state

Policy Iteration

Algorithm:

  • Until convergence:
    • Evaluate policy
    • Select new policy according to greedy strategy

Greedy strategy:

\[\pi'(s) = \mathop{\operatorname{arg\,max}}\limits_a Q(s,a)\]

Unpacking the Notation

\[\pi(s) = \mathop{\operatorname{arg\,max}}\limits_a Q(s,a)\]

  • \(\pi'(s)\)
    • New policy \(\pi'\)
    • New policy is a function of state: \(\pi'(s)\)
  • \(Q(s,a)\)
    • Value of state, action pair\((s, a)\)
  • Policy as function of state \(s\)
    • Looks over all actions at each state
    • Chooses action with highest value (argmax)

Policy Iteration

Previous step:

  • \(Q^\pi(s,\pi(s))\)

Current step:

  • \(Q^\pi(s, \pi' (s)) \gets \max \limits_a Q^\pi(s,a) \geq Q^\pi(s, \pi(s))\)
    • \(= U^\pi(s)\)

Policy Iteration

Convergence:

  • \(Q^\pi(s, \pi' (s)) = \max \limits_a Q^\pi(s,a) = Q^\pi(s, \pi(s))\)
    • \(= U^\pi(s)\)

Convergence

  • Does our policy need to converge to \(U^\pi\) ?
    • \(U^\pi\) represents value
    • We care about policy1

Modified Policy Iteration:

  • \(\epsilon\)-convergence
  • \(k\)-iteration policy evaluation
  • \(k = 1\): Value Iteration

Value Iteration

Optimality:

  • Given state \(s\), states \(s'\) reachable
  • Optimal policy \(\pi(s)\) achieves optimal value:
    • \(U^\pi(s') = U^*(s')\)


Assume:

  • We have \(U^*(s')\)
  • We want \(U^*(s)\)

Value Iteration

One-step lookahead:

\[U^*(s) \gets \max \limits_a \left( R(s,a) + \gamma \sum \limits_s' T(s'|s, a) U^*(s') \right)\]

  • Apply updates iteratively
  • Use current \(U(s')\) as “approximation” for \(U^*(s')\)
  • That’s it. That’s the algorithm.
  • Extract policy from values after completion.

Synchronous Value Iteration…

\[U_{k+1}(s) \gets \max \limits_a \left( R(s,a) + \gamma \sum \limits_s' T(s'|s, a) U_k(s') \right)\]

  • \(U_k(s)\) held in memory until \(U_{k+1}(s)\) computed
  • Effectively requires two copies of \(U\)

Asynchronous Value Iteration

  • Updating \(U(s)\) for one state at a time:

\[U(s) \gets \max \limits_a \left( R(s,a) + \gamma \sum \limits_s' T(s'|s, a) U(s) \right)\]

  • Ordering of states can vary
  • Converges if all states are updated
    • …and if algorithm runs infinitely

Multi-Armed Bandits

  • Slot machine with more than one arm
  • Each pull has a cost
  • Each pull has a payout
  • Probability of payouts unknown
  • Goal: maximize reward
    • Time horizon?

Solving Multi-Armed Bandits

😔

Confidence Bounds

  • Expected value of reward per arm
    • Confidence interval of reward per arm
  • Select arm based on upper confidence bound


  • How do we estimate rewards?
    • Explore vs. exploit

Bandit as MDP?

Bandit Strategies

  • Upper Confidence Bound for arm \(M_i\):
    • \(UCB(M_i) = \mu_i + \frac{g(N)}{\sqrt{N_i}}\)
    • \(g(N)\) is the “regret”
  • Thompson Sampling
    • Sample arm based on probability of being optimal

Monte Carlo Methods

Monte Carlo Tree Search

  • Randomly simulate trajectories through tree
    • Complete trajectory
    • No heuristic needed1
    • Need a model
  • Better than exhaustive search?

Selection Policy

  • Focus search on “important” parts of tree
    • Similar to alpha-beta pruning
  • Explore vs. exploit
    • Simulation
    • Not actually exploiting the problem
    • Exploiting the search

Monte Carlo Tree Search

  • Choose a node
    • Explore/exploit
    • Choose a successor
    • Continue to leaf of search tree
  • Expand leaf node
  • Simulate result until completion
  • Back-propagate results to tree

Monte Carlo Tree Search

Selection/Search

Monte Carlo Tree Search

Expansion

Monte Carlo Tree Search

Simulation/Rollout

Monte Carlo Tree Search

Back-Propagation

Upper Confidence Bounds for Trees (UCT)

  • MDP: Maximize \(Q(s, a) + c\sqrt{\frac{\log{N(s)}}{N(s,a)}}\)
    • \(Q\) for state \(s\) and action \(a\)
  • POMDP: Maximize \(Q(h, a) + c\sqrt{\frac{\log{N(h)}}{N(h,a)}}\)
    • \(Q\) for history \(h\) and action \(a\)
    • History: action/observation sequence
  • \(c\) is exploration bonus

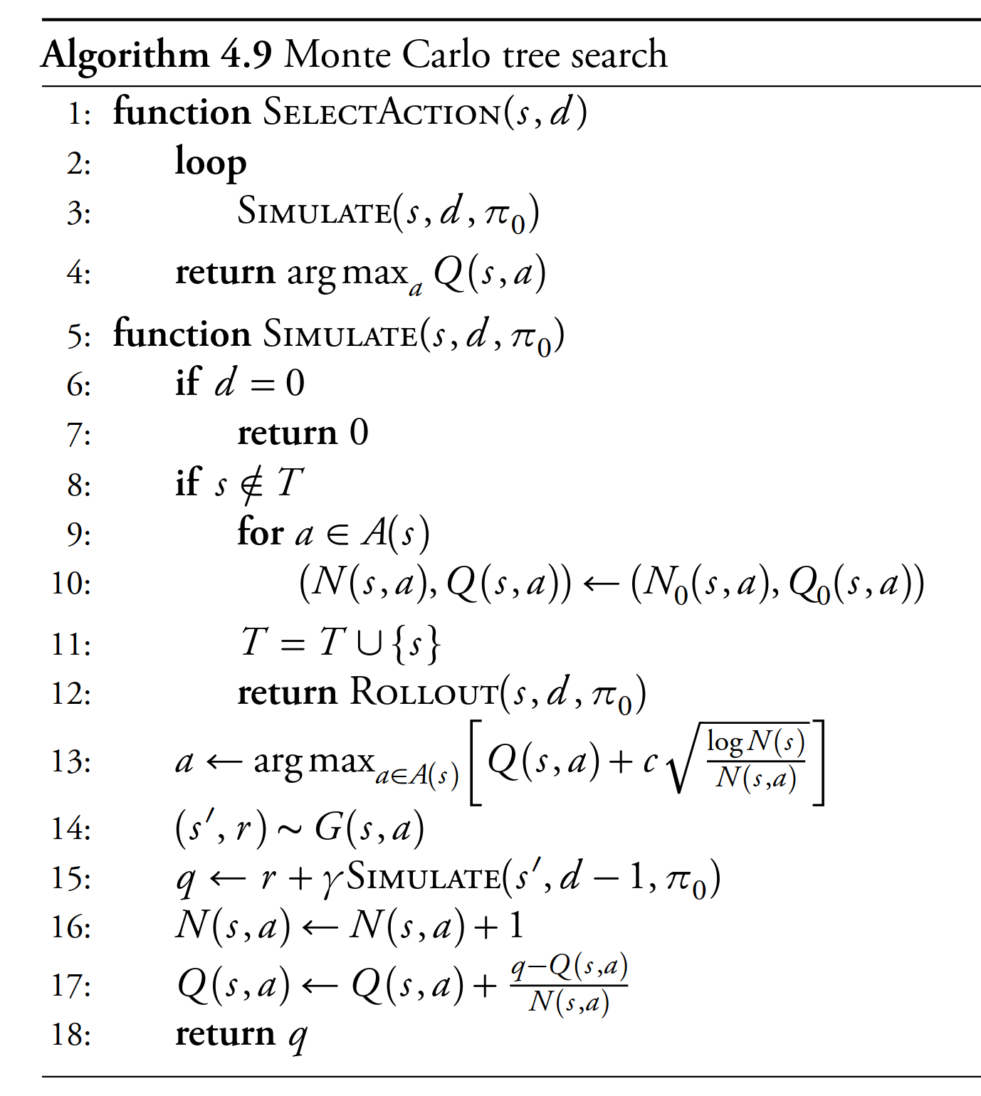
UCT Search - Algorithm





Mykal Kochenderfer. Decision Making Under Uncertainty, MIT Press 2015

Monte Carlo Tree Search - Expansion

  • State \(\notin T\)
    • Initialize \(N(s,a)\) and \(Q(s,a)\)
    • Add state to \(T\)

Monte Carlo Tree Search - Rollout

  • Policy \(\pi_0\) is “rollout” policy
    • Usually stochastic
    • States not tracked

Model Uncertainty

Erstwhile

  • States
  • Actions
  • Transition model between states, based on actions
  • Known rewards

Model Uncertainty

  • No model of transition dynamics
  • No initial knowledge of rewards

😣

We can learn these things!

Model Uncertainty

Action-value function:

\(Q(s, a) = R(s, a) + \gamma \sum \limits_{s'} T(s' | s, a) U(s')\)

we don’t know \(T\):

\(U^\pi(s) = E_\pi \left[ r_t + \gamma r_{t+1} + \gamma^2 r_{t+2} + \gamma^3 r_{t+3} + ...|s \right]\)

\(Q(s, a) = E_\pi \left[ r_t + \gamma r_{t+1} + \gamma^2 r_{t+2} + \gamma^3 r_{t+3} + ...|s,a \right]\)

Temporal Difference (TD) Learning

  • Take action from state, observe new state, reward

\(U(s) \gets U(s) + \alpha \left[ r + \gamma U(s') - U(s)\right]\)

  • Update immediately given \((s, a, r, s')\)

  • TD Error: \(\left[ r + \gamma U(s') - U(s)\right]\)

    • Measurement: \(r + \gamma U(s')\)
    • Old Estimate: \(U(s)\)

TD Learning - Example

Q-Learning

  • \(U^\pi\) gives us utility
  • Solving for \(U^\pi\) allows us to pick a new policy

State-action value function: \(Q(s,a)\)

  • \(\max_a Q(s,a)\) provides optimal policy
  • Goal: Learn \(Q(s,a)\)

Q-Learning

Iteratively update \(Q\):

\(Q(s,a) \gets Q(s,a) +\alpha \left[R + \gamma \max \limits_{a'} Q(s', a') - Q(s,a)\right]\)

  • Current state \(s\) and action \(a\)
  • Next state \(s'\), next action(s) \(a'\)
  • Reward \(R\)
  • Discount rate \(\gamma\)
  • Learning rate \(\alpha\)

Q-Learning Algorithm

Mykal Kochenderfer. Decision Making Under Uncertainty, MIT Press 2015

Q-Learning Example

Sarsa

Q-Learning: \(Q(s,a) \gets Q(s,a) +\alpha \left[R + \gamma \max \limits_{a'} Q(s', a') - Q(s,a)\right]\)

Sarsa:
\(Q(s,a) \gets Q(s,a) +\alpha \left[R + \gamma Q(s', a') - Q(s,a)\right]\)


Differences?

Sarsa Example

Q-Learning vs. Sarsa

  • Sarsa is “on-policy”
    • Evaluates state-action pairs taken
    • Updates policy every step
  • Q-learning is “off-policy”
    • Evaluates “optimal” actions for future states
    • Updates policy every step

Exploration vs. Exploitation

  • Consider only the goal of learning the optimal policy
    • Always picking “optimal” policy does not search
    • Picking randomly does not check “best” actions
  • \(\epsilon\)-greedy:
    • With probability \(\epsilon\), choose random action
    • With probability \(1-\epsilon\), choose ‘best’ action
    • \(\epsilon\) need not be fixed

Eligibility Traces

  • Q-learning and Sarsa both propagate Q-values slowly
    • Only updates individual state
  • Recall MCTS:
    • (Also recall that MCTS needs a generative model)

Recall MCTS

Eligibility Traces

  • Keep track of what state-action pairs agent has seen
  • Include future rewards in past Q-values
  • Very useful for sparse rewards
    • Can be more efficient for non-sparse rewards

Eligibility Traces

  • Keep \(N(s,a)\): “number of times visited”
  • Take action \(a_t\) from state \(s_t\):
    • \(N(s_t,a_t) \gets N(s_t,a_t) + 1\)
  • Every time step:1
    • \(\delta = R + \gamma Q(s',a') - Q(s,a)\)
    • \(Q(s,a) \gets Q(s, a) + \alpha \delta N(s,a)\)
    • \(N(s,a) \gets \gamma \lambda N(s,a)\)
      • Discount factor \(\gamma\)
      • Time decay \(\lambda\)

Sarsa-\(\lambda\)

Sarsa:

  • \(Q(s,a) \gets Q(s,a) +\alpha \left[R + \gamma Q(s', a') - Q(s,a)\right]\)


Sarsa-\(\lambda\):

  • \(\delta = R + \gamma Q(s',a') - Q(s,a)\)
  • \(Q(s,a) \gets Q(s, a) + \alpha \delta N(s,a)\)

Sarsa-\(\lambda\)

Sarsa-\(\lambda\) Example

Q-\(\lambda\) ?

Q-Learning:
\(\quad \quad Q(s,a) \gets Q(s,a) +\alpha \left[R + \gamma \max \limits_{a'} Q(s', a') - Q(s,a)\right]\)

Sarsa:
\(\quad \quad Q(s,a) \gets Q(s,a) +\alpha \left[R + \gamma Q(s', a') - Q(s,a)\right]\)


Sarsa-\(\lambda\):
\(\quad \quad \delta = R + \gamma Q(s',a') - Q(s,a)\) \(\quad \quad Q(s,a) \gets Q(s, a) + \alpha \delta N(s,a)\)

Watkins Q-\(\lambda\)

Idea: only keep states in N(s,a) that policy would have visited

  • Some actions are greedy: \(\max \limits_a' Q(s, a')\)

  • Some are random

  • On random action, reset \(N(s,a)\)

  • Why the difference from Sarsa?

Approximation Methods

  • Large problems:
    • Continuous state spaces
    • Very large discrete state spaces
    • Learning algorithms can’t visit all states
  • Assumption: “close” states \(\rightarrow\) similar state-action values

Local Approximation

  • Store \(Q(s,a)\) for a limited number of states: \(\theta(s,a)\)
  • Weighting function \(\beta\)
    • Maps true states to states in \(\theta\)

\(Q(s,a) = \theta^T\beta(s,a)\)


Update step:

\(\theta \gets \theta + \alpha \left[R + \gamma \theta^T \beta(s', a') - \theta^T\beta(s, a)\right] \beta(s, a)\)

Linear Approximation Q-Learning

Mykal Kochenderfer. Decision Making Under Uncertainty, MIT Press 2015

Example: Grid Interpolations

References

  • Richard S. Sutton and Andrew G. Barto. Reinforcement Learning: An Introduction. 2nd Edition, 2018.

  • Mykal Kochenderfer, Tim Wheeler, and Kyle Wray. Algorithms for Decision Making. 1st Edition, 2022.

  • John G. Kemeny and J. Laurie Snell, Finite Markov Chains. 1st Edition, 1960.

  • Stanford CS234 (Emma Brunskill)

  • UCL Reinforcement Learning (David Silver)

  • Stanford CS228 (Mykal Kochenderfer)